2PA1576R_NXP00002: pnp bipolar transistor test

part name: 2PA1576R_NXP00002
description: PNP general-purpose transistor
documentation: http://www.nxp.com/acrobat/datasheets/2PA1576_5.pdf
model name: Q2PA1576R
library file: 2PA1576R.prm

DC current gain graph
Parameters: V_CE = 5V
DC current gain as a function of collector current at different temperatures.
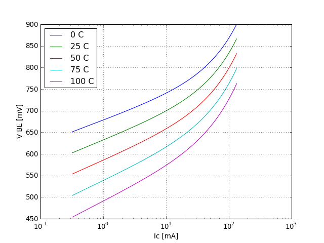
VBE voltage graph
Parameters: V_CE = 5V
Base-emitter voltage as a function of collector current at different temperatures.
VCE saturation voltage graph
Parameters: IC/IB = 20
Collector-emitter saturation voltage as a function of collector current at different temperatures.
VBE saturation voltage graph
Parameters: IC/IB = 20
Base-emitter saturation voltage as a function of collector current at different temperatures.

Test logging messages

testlibrary.pyc creating netlist:  gnetlist -g spice-sdb -l scripts/geda-parts.scm -o model_tests/nxp/bipolar/2PA1576R_NXP00002/ng21/dc_current_gain.net model_tests/nxp/bipolar/2PA1576R_NXP00002/ng21/dc_current_gain.sch
Using SPICE backend by SDB -- Version of 4.28.2007
schematic-type = normal schematic
Command line passed = gnetlist -g spice-sdb -l scripts/geda-parts.scm -o model_tests/nxp/bipolar/2PA1576R_NXP00002/ng21/dc_current_gain.net model_tests/nxp/bipolar/2PA1576R_NXP00002/ng21/dc_current_gain.sch 
Loading schematic [/home/werner/oss/geda/spicelib/model_tests/nxp/bipolar/2PA1576R_NXP00002/ng21/dc_current_gain.sch]

testlibrary.pyc netlist creation was successful
testlibrary.pyc creating netlist:  gnetlist -g spice-sdb -l scripts/geda-parts.scm -o model_tests/nxp/bipolar/2PA1576R_NXP00002/ng21/saturation_voltages.net model_tests/nxp/bipolar/2PA1576R_NXP00002/ng21/saturation_voltages.sch
Using SPICE backend by SDB -- Version of 4.28.2007
schematic-type = normal schematic
Command line passed = gnetlist -g spice-sdb -l scripts/geda-parts.scm -o model_tests/nxp/bipolar/2PA1576R_NXP00002/ng21/saturation_voltages.net model_tests/nxp/bipolar/2PA1576R_NXP00002/ng21/saturation_voltages.sch 
Loading schematic [/home/werner/oss/geda/spicelib/model_tests/nxp/bipolar/2PA1576R_NXP00002/ng21/saturation_voltages.sch]

testlibrary.pyc netlist creation was successful
testlibrary.pyc running simulation:  cd model_tests/nxp/bipolar/2PA1576R_NXP00002/ng21 ; ngspice -r X -b simulate.ngspice











Circuit: *

Doing analysis at TEMP = 0.000000 and TNOM = 27.000000


No. of Data Rows : 1000
Doing analysis at TEMP = 25.000000 and TNOM = 27.000000


No. of Data Rows : 1000
Doing analysis at TEMP = 50.000000 and TNOM = 27.000000


No. of Data Rows : 1000
Doing analysis at TEMP = 75.000000 and TNOM = 27.000000


No. of Data Rows : 1000
Doing analysis at TEMP = 100.000000 and TNOM = 27.000000


No. of Data Rows : 1000

Circuit: * gnetlist -g spice-sdb -l scripts/geda-parts.scm -o model_tests/nxp/bipolar/2pa1576r_nxp00002/ng21/saturation_voltages.net model_tests/nxp/bipolar/2pa1576r_nxp00002/ng21/saturation_voltages.sch

Doing analysis at TEMP = 0.000000 and TNOM = 27.000000


No. of Data Rows : 12
Doing analysis at TEMP = 25.000000 and TNOM = 27.000000


No. of Data Rows : 12
Doing analysis at TEMP = 50.000000 and TNOM = 27.000000


No. of Data Rows : 12
Doing analysis at TEMP = 75.000000 and TNOM = 27.000000


No. of Data Rows : 12
Doing analysis at TEMP = 100.000000 and TNOM = 27.000000


No. of Data Rows : 12
Doing analysis at TEMP = 100.000000 and TNOM = 27.000000

elapsed time since last call: 0.143 seconds.

Total elapsed time: 0.143 seconds.

Total DRAM available = 5983.023438 MB.
DRAM currently available = 1836.257812 MB.
Total ngspice program size = 19.858398 MB.
Resident set size = 1.018555 MB.
Shared ngspice pages = 698.000 kB.
Text (code) pages = 1.840820 MB.
Stack = 0 bytes.
Library pages = 6.065430 MB.


testlibrary.pyc simulation run was successful
testlibrary.pyc testing and plotting
testlibrary.pyc finished testing and plotting successfully

Werner Hoch
Last modified: Mon Nov 19 19:04:12 CET 2007