2PA1576S_NXP00003: pnp bipolar transistor test

part name: 2PA1576S_NXP00003
description: PNP general-purpose transistor
documentation: http://www.nxp.com/acrobat/datasheets/2PA1576_5.pdf
model name: Q2PA1576S
library file: 2PA1576S.prm

DC current gain graph
Parameters: V_CE = 5V
DC current gain as a function of collector current at different temperatures.
VBE voltage graph
Parameters: V_CE = 5V
Base-emitter voltage as a function of collector current at different temperatures.
VCE saturation voltage graph
Parameters: IC/IB = 20
Collector-emitter saturation voltage as a function of collector current at different temperatures.
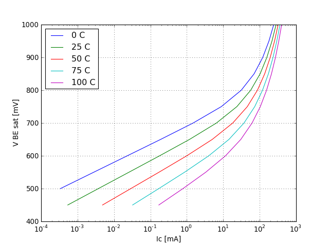
VBE saturation voltage graph
Parameters: IC/IB = 20
Base-emitter saturation voltage as a function of collector current at different temperatures.

Test logging messages

testlibrary.pyc creating netlist:  gnetlist -g spice-sdb -l scripts/geda-parts.scm -o model_tests/nxp/bipolar/2PA1576S_NXP00003/gc0.35/dc_current_gain.net model_tests/nxp/bipolar/2PA1576S_NXP00003/gc0.35/dc_current_gain.sch
Using SPICE backend by SDB -- Version of 4.28.2007
schematic-type = normal schematic
Command line passed = gnetlist -g spice-sdb -l scripts/geda-parts.scm -o model_tests/nxp/bipolar/2PA1576S_NXP00003/gc0.35/dc_current_gain.net model_tests/nxp/bipolar/2PA1576S_NXP00003/gc0.35/dc_current_gain.sch 
Loading schematic [/home/werner/oss/geda/spicelib/model_tests/nxp/bipolar/2PA1576S_NXP00003/gc0.35/dc_current_gain.sch]

testlibrary.pyc netlist creation was successful
testlibrary.pyc creating netlist:  gnetlist -g spice-sdb -l scripts/geda-parts.scm -o model_tests/nxp/bipolar/2PA1576S_NXP00003/gc0.35/saturation_voltages.net model_tests/nxp/bipolar/2PA1576S_NXP00003/gc0.35/saturation_voltages.sch
Using SPICE backend by SDB -- Version of 4.28.2007
schematic-type = normal schematic
Command line passed = gnetlist -g spice-sdb -l scripts/geda-parts.scm -o model_tests/nxp/bipolar/2PA1576S_NXP00003/gc0.35/saturation_voltages.net model_tests/nxp/bipolar/2PA1576S_NXP00003/gc0.35/saturation_voltages.sch 
Loading schematic [/home/werner/oss/geda/spicelib/model_tests/nxp/bipolar/2PA1576S_NXP00003/gc0.35/saturation_voltages.sch]

testlibrary.pyc netlist creation was successful
testlibrary.pyc running simulation:  cd model_tests/nxp/bipolar/2PA1576S_NXP00003/gc0.35 ; /usr/bin/gnucap -b simulate.gnucap
Gnucap 0.35
The Gnu Circuit Analysis Package
Never trust any version less than 1.0
Copyright 1982-2006, Albert Davis
Gnucap comes with ABSOLUTELY NO WARRANTY
This is free software, and you are welcome
to redistribute it under certain conditions
according to the GNU General Public License.
See the file "COPYING" for details.
* 
* gnetlist -g spice-sdb -l scripts/geda-parts.scm -o model_tests/nxp/bipolar/2PA1576S_NXP00003/gc0.35/dc_current_gain.net model_tests/nxp/bipolar/2PA1576S_NXP00003/gc0.35/dc_current_gain.sch 
* gnetlist -g spice-sdb -l scripts/geda-parts.scm -o model_tests/nxp/bipolar/2PA1576S_NXP00003/gc0.35/saturation_voltages.net model_tests/nxp/bipolar/2PA1576S_NXP00003/gc0.35/saturation_voltages.sch 

testlibrary.pyc simulation run was successful
testlibrary.pyc testing and plotting
testlibrary.pyc finished testing and plotting successfully

Werner Hoch
Last modified: Mon Nov 19 19:04:12 CET 2007