NPN darlington transitor test

test schematic setups

test schematic
Test for the amplifier characteristics of the darlington transistor.
  1. DC current gains for different collector currents
  2. the base emitter voltage for different collector currents.
This simulation is done at different temperatures and plotted in the first two semilogx plots.
Note: there are numeric errors for small collector currents.
test schematic
Test for the switching characteristic of the darlington transistor. It simulates the base and collector voltage for a fixed ratio of the base and collector current. The plotted functions are:
  1. the collector emitter saturation voltage
  2. the base emitter voltage
This simulations is done at different temperatures and plotted in two extra plots.

postprocessing tests

Currently there are no automatic postprocessing tests. You've to use your eyes to evaluate the simulation results.

example test results

DC current gain graph
Parameters: V_CE = 5V
DC current gain as a function of collector current at different temperatures.
VBE voltage graph
Parameters: V_CE = 5V
Base-emitter voltage as a function of collector current at different temperatures.
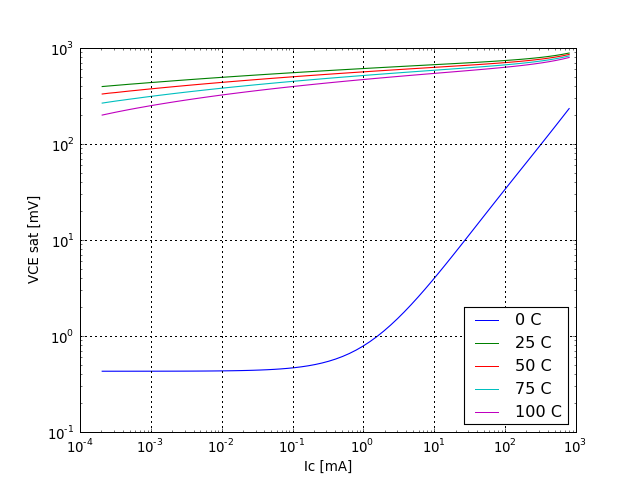
VCE saturation voltage graph
Parameters: IC/IB = 400
Collector-emitter saturation voltage as a function of collector current at different temperatures.
VBE saturation voltage graph
Parameters: IC/IB = 400
Base-emitter saturation voltage as a function of collector current at different temperatures.

Werner Hoch
Last modified: Wed Sep 23 11:42:31 CEST 2009